首 页
学校概况
学校概况
学校荣誉
机构设置
校园风光
教学教育
继续教育
教务动态
思政在线金品课程
招生工作
分管领导
招生宣传
优惠政策
答考生问
就业工作
分管领导
校企合作
就业信息
就业指导
德育经纬
学校制度
学生工作动态
党建之窗
政策法规
年度报告
联系我们
通知公告
您的位置:
首页
>
通知公告
>
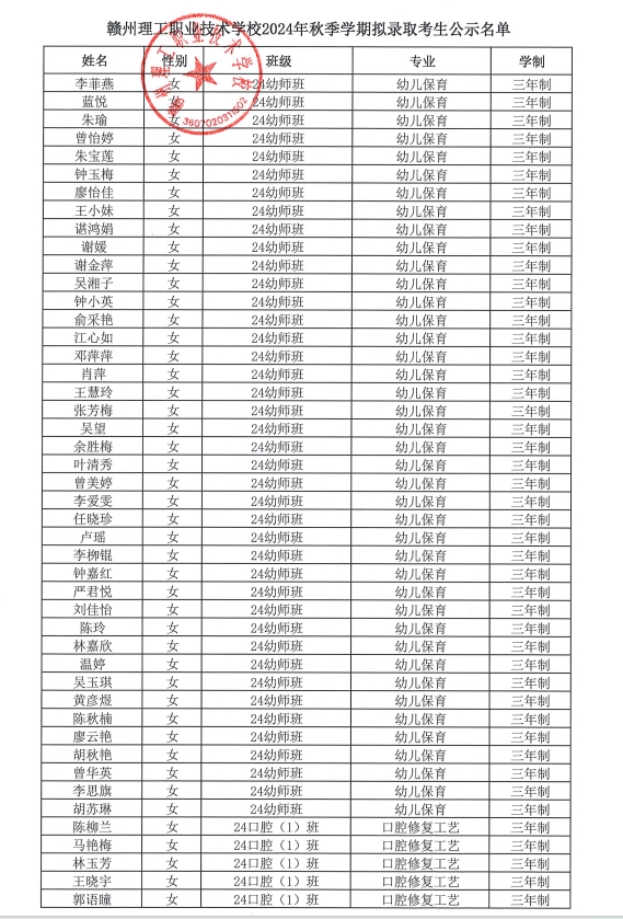
赣州理工职业技术学校2024年秋季学期拟录取考生公示名单
发布时间:
2024-09-06 11:59:56